NGS-MRD在接受造血细胞移植的成人ALL中的预后价值
发布时间:2023-11-21 16:32 | 点击次数:630

在接受造血细胞移植(HCT)的成人急性淋巴细胞白血病(ALL)患者中,可测量的残留疾病(MRD)是一个不良预后因素。这篇文章主要研究了基于更高灵敏度(10-6)的二代测序(NGS)的MRD检测在接受HCT的成人ALL中的预后价值。研究发现,无论是移植前低水平(<10-4)的MRD,还是移植后任何可检出的MRD,均显著增加了移植后复发的风险,且IgH MRD克隆型比非IgH克隆型更具有预后价值。
分别在HCT前(MRDpre)和HCT后1年内(MRDpost)对纳入研究的接受HCT的ALL患者进行NGS-MRD评估,HCT后的监测频率为平均每43天监测一次,随访患者白血病复发和生存长达2年。
MRD检测样本来自骨髓(BM)或外周血(PB),大多数MRDpre评估是在BM上,大多数MRDpost评估是在PB上。
MRD阳性被定义为在B细胞ALL中存在可检测到的IgH克隆型或在T细胞ALL中存在可检测到的TCRβ或TCRγ克隆型;相反,MRD阴性被定义为没有可检测到的IgH(B细胞)或TCRβ/TCRγ(T细胞)克隆型。
在174名接受HCT治疗的ALL患者中,158人(91%)有至少一个显著性克隆序列用于MRD追踪,其中111例(70%)同时进行了MRDpre和≥1MRDpost评估,并形成了多变量分析模型的队列。在81例同时有PB和BM样本的患者中,PB和BM MRD之间具有很高的一致性。
01MRDpre与复发的关系

图1.基于MRDpre水平的复发风险
MRDpre结果:82例阴性,24例MRD低水平(<10-4),11例MRD高水平(≥10-4到≤10-3),5例MRD水平非常高(>10-3)。MRDpre低水平和高水平患者的复发风险相似,在之后的多因素分析中将这两组合并,定义为MRDpre中度(≤10-3)。MRDpre水平越高,HCT后的累计复发发生率越高(图1,表1)。包括低水平MRDpre患者的复发风险显著高于检测不到的患者(HR 3.56,p = 0.01)。
不同MRDpre水平患者的白血病特异性死亡率没有显著差异(表1)。

表1.基于MRDpre和MRDpost水平的累积复发发生率和白血病特异性死亡率的单变量分析
02MRDpost与复发的关系

图2.基于MRDpost水平的复发风险
48例(33%)患者可通过NGS检测到MRDpost阳性。MRDpost阳性的患者HCT后复发风险显著增加(HR=6.31,p<0.0001)(图2);白血病特异性死亡率风险显著增加(HR=7.74,p<0.0001)(表1)。
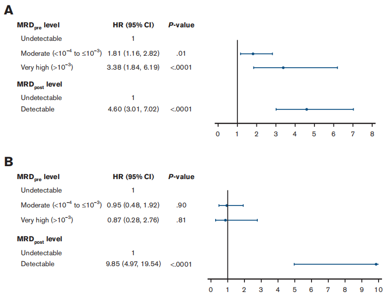
03MRD与复发的关系(多因素分析)

图3.基于MRDpre和MRDpost水平的HCT后复发和白血病特异性死亡率的风险
将MRDpre作为固定协变量,MRDpost作为时变协变量建立Cox模型。在调整MRDpost结果后,中等水平和非常高水平MRDpre仍然与HCT后复发风险的增加显著相关。同样,在调整MRDpre结果后,MRDpost阳性仍然与复发高度相关。(图3A)
白血病特异性死亡率的Cox模型显示,仅有MRDpost阳性和白血病特异性死亡率显著相关(HR 9.85,p < 0.0001)。
04B-ALL患者HCT后检测到非IGH克隆型的影响

图4.根据HCT后任何时间点检测到的特异性MRD克隆型(IgH vs非IgH)描述B-ALL患者的预后
在29例HCT后仅检测到IgH克隆型MRD的患者中,有20例(61%)复发,只有6例(21%)存活。然而,在24例HCT后仅检测到非IgH(Igκ/λ)克隆型MRD的患者中,只有5例(21%)复发,18例(75%)存活。表明IgH克隆型MRD更具有预后价值,对非IgH克隆型的MRD需谨慎解读。
NGS-MRD可在10-6水平提供预测价值。低水平(<10-4)MRDpre也会增加复发风险,因此最佳的HCT前目标应该是在10-6水平上无法检测到MRD。MRDpost阳性是复发的最强预测因子。在B-ALL中,移植后检测到的IgH克隆型MRD与预后关系更为明确,而仅检出非IgH克隆型MRD则与复发关联性不大。
参考文献
Liang EC, Dekker SE, Sabile JMG, et al. Next-generation sequencing-based MRD in adults with ALL undergoing hematopoietic cell transplantation. Blood Adv. 2023 Jul 25;7(14):3395-3402.
技术原理

每种B/T淋巴细胞表面均存在一种特异性B细胞受体(B cell receptor,BCR/Ig)/T细胞受体 (T cell receptor,TCR),由于BCR/TCR因中V、D、J基因片段重组与碱基的随机插入、删减,导致BCR/TCR具有高度多样性的特点,从而BCR/TCR可作为每个B/T淋巴细胞独特的分子标签。
淋系血液癌症患者因B/T淋巴细胞发生癌变,癌细胞继而自我复制形成克隆性增殖,因此,通过检测B/T淋巴细胞表面受体BCR/TCR可以鉴定癌细胞并追踪检测癌细胞的动态变化。
检测类型
1.癌细胞克隆性检测
通过患者初诊或癌细胞高负荷时的骨髓样本,找到癌细胞特有的DNA“标签”序列。
2.MRD追踪检测
利用筛查出的DNA“标签”序列,在治疗期间或治疗后评估MRD水平,监测癌细胞含量,同时检测识别新出现的癌细胞序列。
适用人群
1. B系血液系统癌症
急性/慢性B淋巴细胞白血病、多发性骨髓瘤、B型淋巴瘤。
2. T系血液系统癌症
急性/慢性T淋巴细胞白血病、T型淋巴瘤。
意义
Seq-MRD®能提供高精度、高灵敏度的MRD检测解决方案,可帮助医生更准确地评估癌症患者的治疗反应和预后。这些技术在现代肿瘤治疗中扮演着越来越重要的角色,因为它们能够帮助医生识别那些患病复发风险高的患者,并为他们提供更个性化、更有针对性的治疗方案。
杭州艾沐蒽生物科技有限公司成立于2016年,是国际前沿的专注于免疫驱动医学技术的国家高新技术企业。创始人团队来自美国芝加哥大学,在2010年开始使用免疫组基因高通量测序技术开展各种疾病相关研究,于2016年通过自主研发,全国率先推出NGS-MRD血液肿瘤微小残留病(MRD)检测Seq-MRD®,并授权泛生子(纳斯达克代码:GTH)使用。同时,公司拥有Immun-Traq®肿瘤治疗伴随诊断、Immun-Cheq® |T细胞免疫测评以及ImmuHub®免疫组测序科研服务产品,并布局有基于AI机器学习算法的T-classifier®肿瘤早筛、单细胞测序、TCR-T和抗体发现等平台管线。公司构建几十项发明专利和软件著作权为核心的自主知识产权体系,为医院临床、生命科学研究、新药开发等提供解决方案和产品。艾沐蒽专注于通过解码适应性免疫系统来改变疾病的诊断和治疗,并致力于推进免疫驱动医学领域发展。

ImmunoDiagnostics | ImmunoMonitoring
免疫诊断 | 免疫监控
专注于免疫组高通量测序

长按关注艾沐蒽生物
ImmuHub | Seq-MRD | Immun-Traq | Immun-Cheq | T-Classifier |TCR-T
Web:www.immuquad.com
Email:Contact@immuquad.com
Tel:0571-81061561
Address:杭州市上城区石桥路196号浙江省农创园4号楼1层

