重要进展!艾沐蒽 Seq-MRD®在 Nature Communications 发表新研究成果
发布时间:2023-11-22 17:26 | 点击次数:2003
2023 年 11 月 18 日,浙江大学医学院附属儿童医院徐晓军教授团队在国际高水平期刊 Nature Communications(IF:17.694)上发表了题为」Minimal residual disease detection by next-generation sequencing of different immunoglobulin gene rearrangements in pediatric B-ALL「的研究论文,这是目前国内发表的影响因子最高的关于免疫组 NGS MRD 检测的文章。
该研究中所有样本的 NGS-MRD 检测均采用艾沐蒽自主开发的 Seq-MRD®技术。这项研究利用二代测序技术(NGS)开展淋巴细胞免疫球蛋白(Ig)重链和轻链基因重排检测,在初诊时、诱导治疗结束、巩固治疗结束等多个时间点进行检测,评价其作为监测 B 系急性淋巴细胞白血病微小残留病(MRD)方法的临床价值。该医院单位是国内最早利用二代测序技术检测 B-ALL MRD 的单位之一,于 2018 年 11 月份起将 Seq-MRD®检测纳入到 B-ALL 的诊治体系中。
下面就让我们一起来详细了解一下吧!

基于 MRD 状态的治疗策略改善了儿童 ALL 的预后,灵敏度和准确度更高的 NGS MRD 检测方法更加增强了对治疗后复发风险的识别,并允许在监测的每个时间点识别新出现的克隆。以往的临床研究主要集中在 IGH 的 NGS 的预后意义上,但对于 IGK 和 IGL 轻链位点的预后价值存在认知差异。本研究旨在确定 IGH 和轻链(IGK/IGL)MRD 测量在儿童 B-ALL 中的预后价值。
共纳入 430 例儿童 B-ALL 患者,所有患儿均按 ZJCH-ALL-2019 化疗方案治疗。分别在初诊时、第 5 周的诱导化疗结束时 (EOI) 和第 13 周的巩固治疗结束 (EOC) 时采集骨髓由杭州艾沐蒽生物科技有限公司进行 NGS-MRD 检测。中位随访时间为 20.7 个月。
Ig 克隆重排的分布模式
在 399 例具有可追踪克隆的 B-ALL 患者中,377 例儿童检测到 724 个 IGH 克隆(包括 IGH-DJ)重排,176 例儿童检测到 266 个 IGK 克隆(包括 IGKDE)重排,68 例儿童检测到 83 个 IGL 克隆重排。大多数患儿表现为 Ig 多克隆模式。克隆具体分布情况如图 1 所示。

图 1.Ig 克隆重排的分布特征
大多数儿童表现出 1 到 3 个克隆重排(图 1A)。IGH、IGK、IGL 克隆数及对应的患者个数分布如图 1B 所示。有 22 例患者没有可追踪的 IGH 克隆,但有 IGL 和(或)IGK 进行跟踪(图 1C)。这表明 IGK/IGL 可使另外 5.5% 样本获得 MRD 监测标志。不同年龄组间的克隆型数分布也存在差异(图 1D),在 IGH 类别中,10 岁以上儿童大多表现为单克隆重排,而在 IGK/IGL 类别中,无论是 1-10 岁还是 10 岁以上儿童均表现为一个克隆重排的优势。
Ig 克隆重排的清除模式

图 2. 不同克隆频率的 IGH、IGK 和 IGL 的克隆清除模式
60.9% 的克隆在 EOI 阶段被清除,31.4% 的克隆在 EOC 时被清除 (图 2A)。IGH、IGK 和 IGL 显示出相似的清除模式,大部分克隆在 EOI 时被清除(图 2B-2D)。IGH、IGK 和 IGL 之间的克隆清除时间没有显著性差异(图 2E)。
作者还研究了不同大小的克隆的清除模式。如图 2F 所示,高频克隆的清除率明显慢于相对低频克隆的清除率。EOI 时,频率 <10% 的 IGH 克隆清除率比频率 >50% 的克隆更高(77.5% vs 54.2%;P <0.001)(图 2 G-2 H)。IGK 和 IGL 克隆的早期清除率也是同样的趋势(图 2I-图 2L)。
比较 IGH-MRD 与 IGK/IGL-MRD 的一致性

图 3. IGH-MRD 与 IGK/IGL-MRD 之间的一致性
在 EOI 时,若以灵敏度 0.01% 作为 cutoff,则 IGH-MRD 和 IGK/IGL-MRD 的一致率为 79.9%;在更高的灵敏度水平(0.0001%)下,IGH-MRD 和 IGK/IGL-MRD 的一致率为 68.9%(图 3A)。在 EOC 时,绝大多数的克隆已被完全根除或低于 0.0001%,当以 0.0001% 为 cutoff 时,IGH 和 IGK/IGL 一致率为 88.4%(图 3B)。
NGS-MRD 的预后分析
如果 IGH、IGK 或 IGL 的任何克隆型为阳性,则 NGS-MRD 定义为阳性。NGS-MRD 根除与临床/实验室特征及生存率之间的关系如图 4 所示。

图 4.NGS-MRD 与临床/实验室特征及生存率之间的关系
年龄大于 10 岁或分为高危组的患者在 EOI 时 NGS-MRD 水平更高,且高危组的患者在 EOC 时 NGS-MRD 水平仍显著偏高(图 4A-4B)。关于基因特性,ETV6-RUNX1 融合基因的患者 NGS-MRD 水平显著低于其他融合基因。染色体核型与 NGS-MRD 无关(图 4C-4D)。
在长期生存率方面,EOI 时,NGS-MRD<0.01% 患者 3 年 EFS 显著优于 ≥ 0.01% 组 (97.3% vs 83.3%,P = 0.002); 在 EOC 时,NGS-MRD<0.0001% 患者 3 年 EFS 显著优于 ≥ 0.0001% 组 (96.4% vs 75.7%,P<0.001)。这提示 EOI 时 0.01% 和 EOC 时 0.0001% 可能是适宜的 cutoff。
MFC 和 NGS MRD 的不一致及临床意义

图 5.MFC 和 NGS MRD 的不一致及临床意义
在 EOI 时,传统的流式技术(MFC)检测 MRD 同样有预后价值(图 5A)。但是在 MFC 和 NGS MRD 不一致的病例中,有 93 例是 MFC-MRD 阴性而 NGS-MRD 阳性,这些患者的 3 年 EFS 不如 MFC 和 NGS MRD 均阴性的患者(84.7% ± 7.1% vs. 97.0% ± 1.2%,P = 0.008);只有 3 例患者为 MFC 阳性而 NGS 阴性,至最后一次随访时他们均存活(图 5B)。说明相比于 MFC,NGS 的检测灵敏度更高,准确度更高。
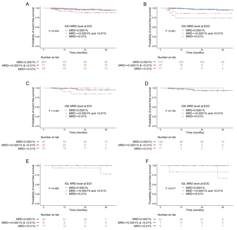
IGH、IGK 和 IGL MRD 的预后分析

图 6.NGS 检测的 IGH、IGK 和 IGL MRD 的预后价值
将 MRD 水平分为 <0.0001%、≥ 0.0001% 且 <0.01%、≥ 0.01% 三类,分别评估 IGH、IGK、IGL MRD 的预后。发现在 EOI 时, 仅 IGH-MRD 与预后相关(P = 0.034)(图 6A)。在 EOC 时,IGH 和 IGL MRD 与预后相关(IGH:P<0.001;IGL:P = 0.017)(图 6B、F)。IGK-MRD 与预后无关,无论在 EOI 还是 EOC(图 6C、D)。这说明 IGH 是 MRD 监测的关键指标。
IGH 和 IGK/IGL MRD 的不一致及临床意义

图 7.IGH 和 IGK/IGL MRD 之间的不一致情况
在 EOI 时,当考虑 IGK/IGL 结果,有 28 例 IGH MRD<0.0001% 的患者被划分到更高水平组(图 7A),其中 2 例患者出现复发或死亡。EOC 时有 20 例 IGH MRD<0.0001% 的患者被分配到更高水平组(图 7B),有 1 例患者出现复发。
将患儿分为三组:IGH+(不论 IGK/IGL 阳性或阴性)、IGH-IGK/IGL-、IGH-IGK/IGL+。EOI 时以 0.01% 为 cutoff,在 18 例 IGH-IGK/IGL+的患者中有 2 例复发,IGH−IGK/IGL +患儿的 EFS 低于 IGH−IGK/IGL−患儿(P = 0 .032)(图 7C)。EOC 时以 0.0001% 为 cutoff,IGH−IGK/IGL+儿童的 EFS 与 IGH−IGK/IGL−儿童无显著差异 (图 7B)。说明 IGK 和 IGL-MRD 的独立预后价值较为有限。这也印证了另一项成人 ALL 的研究结论(详见 NGS-MRD 在接受造血细胞移植的成人 ALL 中的预后价值)。
本研究证明采用二代测序技术平台 Seq-MRD®监测儿童 B-ALL 治疗后 MRD 水平,提高了 MRD 检测的灵敏度及与预后的相关性。EOI 时 NGS-MRD<0.01%、EOC 时 <0.0001% 的患者预后良好。IGH 是 MRD 监测的关键指标,IGK 和 IGL 的独立预后意义有限。
技术原理

每种 B/T 淋巴细胞表面均存在一种特异性 B 细胞受体(B cell receptor,BCR/Ig)/T 细胞受体 (T cell receptor,TCR),由于 BCR/TCR 因中 V、D、J 基因片段重组与碱基的随机插入、删减,导致 BCR/TCR 具有高度多样性的特点,从而 BCR/TCR 可作为每个 B/T 淋巴细胞独特的分子标签。
淋系血液癌症患者因 B/T 淋巴细胞发生癌变,癌细胞继而自我复制形成克隆性增殖,因此,通过检测 B/T 淋巴细胞表面受体 BCR/TCR 可以鉴定癌细胞并追踪检测癌细胞的动态变化。
检测类型
1.癌细胞克隆性检测
通过患者初诊或癌细胞高负荷时的骨髓样本,找到癌细胞特有的 DNA「标签」序列。
2.MRD 追踪检测
利用筛查出的 DNA「标签」序列,在治疗期间或治疗后评估 MRD 水平,监测癌细胞含量,同时检测识别新出现的癌细胞序列。
适用人群
1. B 系血液系统癌症
急性/慢性 B 淋巴细胞白血病、多发性骨髓瘤、B 型淋巴瘤。
2. T 系血液系统癌症
急性/慢性 T 淋巴细胞白血病、T 型淋巴瘤。
意义
Seq-MRD®能提供高精度、高灵敏度的 MRD 检测解决方案,可帮助医生更准确地评估癌症患者的治疗反应和预后。这些技术在现代肿瘤治疗中扮演着越来越重要的角色,因为它们能够帮助医生识别那些患病复发风险高的患者,并为他们提供更个性化、更有针对性的治疗方案。
获得欧盟 CE 资质认证
Seq-MRD®获得欧盟 CE 资质(注册号:DE/CA20/01-IVD-Luxuslebenswelt-190/22),获批的是人淋巴 B 细胞微小残留病基因检测试剂盒(可逆末端终止测序法)。

获得三项发明专利
艾沐蒽推出的 Seq-MRD®血液癌症 MRD 检测是最早批实现商业化的产品,自 2016 年研发专利技术至今,艾沐蒽 Seq-MRD®已经获得 3 项国家发明专利:
[1]「一种应用于高通量测序检测 T 细胞白血病微小残留病的引物组合及试剂盒」(专 利 号: 2016 11204857.0,授权公告号:CN 106957906 B)
[2]「一种检测微小残留病 MRD 的试剂盒」(专 利 号: 2018 1 1550133.0,授权公告号: CN 109652518 B)
[3]「一种检测微小残留病 MRD 的方法」(专 利 号: 2018 1 1549203.0,授权公告号: CN 109680062 B)

发表相关文献
Seq-MRD® 发表相关文献
Huang Y, Zhao H, Shao M, Zhou L, Li X, Wei G, Wu W, Cui J, Chang AH, Sun T, Hu Y, Huang H. Predictive value of next-generation sequencing-based minimal residual disease after CAR-T cell therapy. Bone Marrow Transplant.2022 Jun 1. doi: 10.1038/s41409-022-01699-2. Epub ahead of print. PMID: 35650329.

获得国际市场认可
2023 年 DelveInsight 公司发布的 MRD 国际市场研究报告中,中国进入国际调研市场报告的公司/产品只有艾沐蒽/Seq-MRD®。DelveInsight 是一家前沿的医疗保健市场研究和商业咨询公司,以其现成的联合市场研究报告以及为医疗保健行业的公司提供的定制解决方案而闻名。

杭州艾沐蒽生物科技有限公司成立于 2016 年,是国际前沿的专注于免疫驱动医学技术的国家高新技术企业。创始人团队来自美国芝加哥大学,在 2010 年开始使用免疫组基因高通量测序技术开展各种疾病相关研究,于 2016 年通过自主研发,全国率先推出 NGS-MRD 血液肿瘤微小残留病(MRD)检测 Seq-MRD®,并授权泛生子(纳斯达克代码:GTH)使用。同时,公司拥有 Immun-Traq®肿瘤治疗伴随诊断、Immun-Cheq® |T 细胞免疫测评以及 ImmuHub®免疫组测序科研服务产品,并布局有基于 AI 机器学习算法的 T-classifier®肿瘤早筛、单细胞测序、TCR-T 和抗体发现等平台管线。公司构建几十项发明专利和软件著作权为核心的自主知识产权体系,为医院临床、生命科学研究、新药开发等提供解决方案和产品。艾沐蒽专注于通过解码适应性免疫系统来改变疾病的诊断和治疗,并致力于推进免疫驱动医学领域发展。

ImmunoDiagnostics | ImmunoMonitoring
免疫诊断 | 免疫监控
专注于免疫组高通量测序

