史上最全解析 | BCR测序与应用指导
发布时间:2025-02-19 11:45 | 点击次数:4635
近些年,随着二代测序技术的飞速发展,及免疫在疾病诊断治疗方面的应用增加,免疫组库(TCR/BCR)测序得到了广泛的研究。
T细胞、B细胞通过其表面的生物标志物TCR、BCR的互补决定区(CDR)与MHC-抗原肽分子进行识别并特异性结合。BCR因其结构和发育机制的特殊性,在功能和应用方向上与TCR有所区别。
今天小编就带领大家从BCR的结构、发育成熟机制和BCR测序的应用方向等方面深入了解BCR测序~
一、BCR的结构
BCR是在B细胞膜上表达的免疫球蛋白(Ig)的膜结合形式,由两条相同的重链(IgH)和两条相同的轻链(κ,λ)通过二硫键连接而成。BCR重链分为可变区(V区)、恒定区(C区)、跨膜区及胞质区;轻链则只有V区和C区(图1)。V区由3个互补决定区(CDR1、CDR2和CDR3)组成,CDR的氨基酸/基因组成和排列顺序呈现高度多样性,尤其是CDR3区由V、(D)、J三个基因编码形成,因此多样性程度最高。在同一个体内,这种多样性可达109~1012,构成容量巨大的BCR库。正是这种多样性的存在,正常机体几乎能够对入侵的所有异物产生免疫应答。
图1
免疫球蛋白有IgA、IgG、IgM、IgD、IgE五种,各自可以搭配κ或λ两种轻链。IG的恒定区决定了它的免疫原性,即重链的恒定区决定了它是5种免疫球蛋白中的哪一种,轻链的恒定区决定了搭配重链的是两种轻链中的哪一种;BCR的可变区多样性则决定了抗原识别的多样性和特异性。
BCR和抗体是什么关系呢?免疫球蛋白包括膜型和分泌型,膜型IG即为BCR,表达在B细胞表面,参与抗原识别和B细胞激活;当B细胞被抗原激活,则会分泌抗体与抗原特异性结合,所以抗体是B细胞激活后分泌的可溶性蛋白,主要存在于血清、组织液和外分泌液中。二者在结构和功能上既有联系也有区别。
二、BCR的发育机制
和TCR一样,V(D)J基因重组是产生BCR多样性的关键机制,重组过程包括V(D)J基因片段的随机选择和碱基的插入和删除替换等。与TCR不同的是,初始B细胞会经历类别转换重组(CSR)和体细胞超突变(SHM),以增强免疫球蛋白识别和结合外源抗原的能力以及抗体的效应能力。
1 VDJ基因重组
B细胞的发育经历几个阶段:干细胞-淋巴样祖细胞-祖B细胞(pro-B)-前B细胞(pre-B)-未成熟B细胞-成熟B细胞,在B细胞发育成熟的过程中发生V(D)J基因重排形成BCR。在proB阶段首先发生H链的D-J基因重排, 然后V-DJ基因重排,重链基因重排后preB阶段进行轻链VJ重排,一般k链基因先重排,如果k链重排失败,就转为λ链基因的重排,然后轻链和重链组装成完整的BCR,表达在未成熟B细胞的表面,表达mIgM。成熟的B细胞可同时表达mIgM和mIgD。(图2-3)

图2

图3
VDJ基因重排具有随机性。从染色体基因组中随机各选取一个V、(D)、J基因片段进行重排,V和D的之间、D和J的之间还会有核酸的随机插入和删除替换,因此形成了BCR库的巨大多样性。(图4)

图4
B细胞在骨髓中产生后,其表面展示两种类型的抗体——IgM和IgD,这是原代B细胞的BCR。当B细胞离开骨髓时,因为还没有被激活,它不分泌抗体,一旦B细胞被同源抗原激活,B细胞就会产生默认的抗体类型——IgM,同时B细胞也可能会将其产生的抗体类型由IgM转变为IgG、IgE、IgA中的任何一种。抗体的类型是由重链的恒定区(Fc片段)决定的,恒定区可以与在不同细胞表面表达的相应受体互作,介导抗体效应功能。
B细胞要进行类别转换就必须剪切掉IgM的恒定区,并与其他任何一种抗体的恒定区相连,比如BCR的恒定区由IgM转换为IgG的示例图如下:

图5
通常在人体细胞中,DNA整体突变率极低,然而免疫球蛋白V区的基因会产生相当高的突变率(主要是点突变,大约每一千个碱基中就有一个发生突变),这种高突变现象叫做“体细胞超突变(SHM)”,通常在类型转换后发生。
SHM改变了抗体的抗原结合区,突变后,具有更高亲和力BCR的B细胞更容易受到刺激和增殖。因此,SHM的结果是能产生更多对同源抗原有高亲和力BCR的B细胞,这个过程称之为亲和力成熟。
因此,B细胞通过类型转换可改变抗体的恒定区,通过体细胞高频突变可改变抗体的抗原结合区,通过亲和力成熟选择出了高亲和力的抗体,修饰的结果都是产生能更好对付入侵者的B细胞。
二、BCR测序应用方向
BCR测序是通过高通量测序技术检测靶向扩增后的BCR重链和轻链,全面解析BCR基因重排碱基序列,以及各序列的丰度,从而揭示B细胞介导的体液免疫应答机制以及免疫球蛋白的多样性变化。
主要应用于血液肿瘤微小残留病(MRD)检测、自身免疫性疾病、疫苗/抗体药物研发、肿瘤或传染病免疫反应监测等领域。
(1)在肿瘤中的应用
在淋系血液肿瘤中,B系占大多数。通过BCR测序对癌变的B细胞进行鉴定和追踪,可以有效评估MRD水平,该方法的灵敏度和准确性远高于传统的流式检测,在评估血液肿瘤治疗有效性、预测预后等方面具有重要意义。范文示例:重要进展!艾沐蒽Seq-MRD®在Nature Communications发表的研究成果
在实体肿瘤中,可以通过对外周血或肿瘤微环境的BCR/TCR测序,来判断预后标志物或监测治疗反应,也可以通过肿瘤浸润B细胞来描述肿瘤特征进而确定对肿瘤生长和转移的免疫反应。范文示例:BCR抗体库测序应用 | 揭示肿瘤浸润B淋巴细胞免疫特征
(2)在自身免疫性疾病中的应用
自身免疫性疾病是由于机体对自身抗原发生免疫反应而导致自身组织损害所引起的疾病。在该领域中,BCR的应用比TCR更广泛,很多研究关注疾病或治疗状态下BCR抗体亚型的变化或SHM频率变化,从而探索疾病病理或评估治疗反应。范文示例:BCR测序应用于儿童自身免疫性疾病的研究
(3)在传染病中的应用
可以通过BCR测序监测疾病或治疗状态下对病原体的免疫反应,鉴定特定病原体中共享的病毒相关克隆,发现疾病的发病机理等。范文示例:论文发表 | 艾沐蒽联合浙一院通过ImmuHub®平台发表新冠研究成果
(4)在疫苗/抗体药物研发中的应用
BCR测序技术在疫苗/抗体药物研发中的应用十分广泛,从疫苗效果评估、抗体发现和优化,到疫苗设计改进以及接种策略的优化,都发挥着重要作用,还可以用于研究特定人群(如老年人、慢性病患者等)对疫苗接种的免疫应答,从而为这些人群的疫苗接种策略提供科学依据。范文示例:Nature:艾沐蒽助力吸入式疫苗开发,直达肺泡,有效沉积。
参考文献
1、Deng, X., Zhang, M., Zhou, J. et al. Next-generation sequencing for MRD monitoring in B-lineage malignancies: from bench to bedside. Exp Hematol Oncol 11, 50 (2022).
2、Bruzeau C, Cook-Moreau J, Pinaud E, Le Noir S. Contribution of Immunoglobulin Enhancers to B Cell Nuclear Organization. Front Immunol. 2022 Jun 24;13:877930.
艾沐蒽专注于免疫组测序领域多年,开发的ImmuHub®技术平台方法全面,且具有灵活性,致力于为各大高校、医院、科研机构、企业等提供优良的科研服务。
ImmuHub®BCR 测序具有以下几点独特优势:
1、覆盖多个物种。除了人、小鼠之外,还能进行兔、鸡、猪、蝙蝠、食蟹猴、恒河猴的BCR测序。
2、建库方法灵活。根据不同研究目的和样本类型可选择多重PCR或5`RACE+UMI的建库方法。此外,艾沐蒽具有高超的自主研发能力,对特殊样本,比如人源化小鼠、VDJ/C基因改造小鼠(图6)等能够根据样本情况灵活构建文库。还能针对某个IG亚型构建特异性文库(图7)。

图6

图7
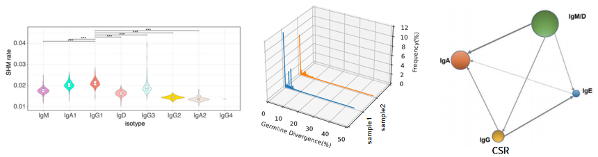
3、优质的数据分析服务。除了常规的免疫组数据分析指标之外,还能进行抗体亚型分析、CSR分析、SHM分析等BCR独有的个性化分析。

图8
什么是ImmuHub®技术?






ImmunoDiagnostics | ImmunoMonitoring
免疫诊断 | 免疫监控
专注于免疫组高通量测序
ImmuHub | Seq-MRD | Immun-Traq
| Immun-Cheq | T-Classifier |TCR-T

