BCR测序技术揭示羊免疫球蛋白库的高度多样性
发布时间:2024-12-17 11:14 | 点击次数:228
绵羊因其高效的中和能力和大规模生产抗体的能力,长期以来被用于治疗蛇毒、洋地黄中毒等疾病。然而,关于绵羊免疫球蛋白库的研究相对较少,尤其是使用高通量测序技术的研究更为稀缺。传统的sanger测序方法虽然能够提供一定的信息,但其低通量和高成本限制了其应用范围。而随着下一代测序(NGS)技术的发展,我们对不同物种抗体库的理解得到了革命性的提升。
最近的一项研究利用NGS深入分析了四只健康绵羊的免疫球蛋白重链(IGH)和轻链(IGK/IGL)库,揭示了绵羊在未接种抗原情况下的免疫球蛋白多样性。这项研究不仅为理解绵羊的免疫反应提供了基础,也为开发新的抗体制药策略提供了重要信息。

题目:利用下一代测序技术探索绵羊免疫球蛋白库
发表期刊:Molecular Immunology
本研究从四只健康的杂交绵羊中提取外周血单核细胞(PBMCs),并使用5' RACE技术扩增IGH、IGK和IGL的cDNA。随后,通过Illumina MiSeq平台进行2×300 bp的双端测序,获得了超过300万个读取数据。通过对这些数据的生物信息学分析,研究人员鉴定了绵羊免疫球蛋白库中的基因使用情况、VJ基因重排以及CDR3区的多样性和氨基酸组成。
研究结果
1.羊免疫球蛋白V(D)J基因的偏好性使用
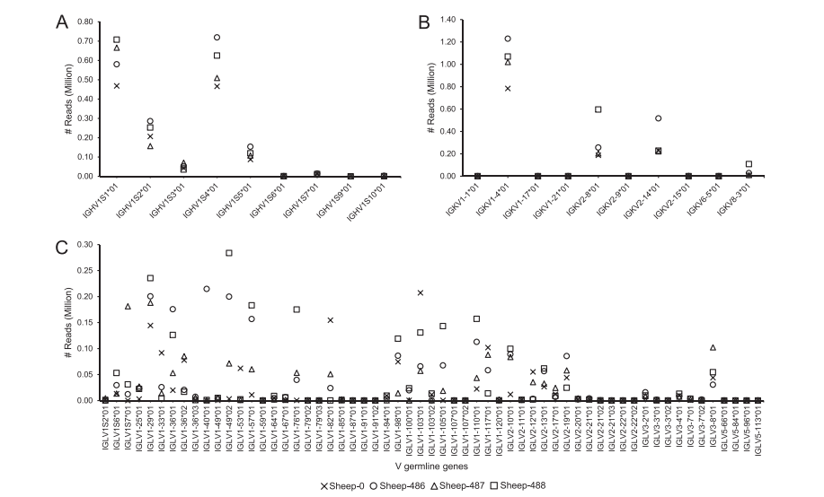
研究发现在四只绵羊中,重链可变基因IGHV1-S101和IGHV1-S401最为常见,分别占据了大约38.3%和36.4%的输入序列,而IGK链则主要依赖于IGKV1-401、IGKV2-1401和IGKV2-801三个基因,合计占97.5%的可变基因使用率。IGL链的胚系基因使用更为多样化,共涉及59个基因,但仍有几个基因如IGLV1-10301和IGLV1-40*01占据了主导地位(图1)。

图1
在D基因方面,IGHD2* 01是D-J重排中最常用的基因,占比超过60%(图2A)。另外,在V-D和D-J连接区域,约78.9%至76.3%的序列包含了1到20个非模板核苷酸(图2B&C),这表明在重排过程中有显著的核苷酸插入现象,增加了CDR3区的多样性。

图2
在J基因的方面,重链主要使用IGHJ401和IGHJ601两个基因,占比接近100%;IGK链则以IGKJ101和IGKJ301为主;IGL链几乎完全依赖于IGLJ201(图3)。

图3
此外,V-J基因重排结果显示,重链倾向于与IGHJ401配对,而IGK链的V-J重排较为多样化,IGL链则几乎全部与IGLJ2*01配对,体现了不同链型之间的差异。
2.羊免疫球蛋白库中CDR3 多样性分析
研究深入分析了羊免疫球蛋白库中CDR3的多样性、长度分布及氨基酸组成。通过对未抗原免疫的羊进行高通量测序,发现羊IGH、IGK和IGL的CDR3长度分别在1-48 AA、1-24 AA和1-27 AA之间变化,其中IGH CDR3长度主要集中在10-22 AA,最常见长度为15-17 AA(图4)。通过测序发现绵羊的平均 IGH CDR3 长度为16.1 ± 3.4个氨基酸,与人类和兔的平均 IGH CDR3 长度非常相似,意味着它们可能形成类似的抗原结合结构,能够识别和结合相似类型的抗原。此外,已知CDR3长度超过12个氨基酸的抗体由于其能够深入溶剂并与更大的抗原表位相互作用而具有更高的抗原特异性,这一特性可能是绵羊抗体在治疗应用中表现出高效中和能力和高特异性的原因之一。

图4( 注:A:IGH链;B:IGK链;C:IGL链)
氨基酸组成方面,IGH CDR3起始部分以丙氨酸(A)和精氨酸(R)为主,末端则以异亮氨酸(I)、天冬氨酸(D)和酪氨酸(Y)为主;IGK和IGL的CDR3序列边界也显示出特定的氨基酸偏好(图5)。研究还评估了抗体库的多样性,发现大多数克隆型仅由单个读数组成,且通过Hamming距离聚类分析,发现大部分CDR3自成一簇,其中72.9-80.4%的簇仅包含一种克隆类型,然后是9.3-13.7%的重链克隆类型属于只有两个成员的簇;类似的结果也出现在轻链上。

图5( 注:A:IGH链;B:IGK链;C:IGL链)
此外,研究人员还评估了趋同性重组现象,通过确定与独特重链CDR3重组的独特重链CDR1和CDR2的数量来实现。在所有四只绵羊中,观察到大多数重链CDR3与一个独特的CDR1和一个独特的CDR2序列重组,同样适用于轻链。最后,为了比较个体绵羊之间重链库的多样性计算了Hill数,Hill数的计算显示不同个体间的多样性存在差异。
3.克隆型共享情况
绵羊个体间的克隆型共享极为有限。在整个数据集中,仅有9个重链CDR3(0.002%)在所有四只绵羊中共享,显示出极高的个体特异性。相比之下,Kappa和Lambda链的克隆型共享比例稍高,分别有1.347%和0.780%的克隆型在所有四只绵羊中共享,但仍低于1%。尽管如此,两两或三三绵羊之间共享的克隆型比例相对较高,特别是Kappa链和Lambda链,分别有7.6%和4.7%的克隆型在两个或三个绵羊之间共享(图6)。然而,超过90%的克隆型仍然是特定于单个个体的,这一结果强调了绵羊免疫球蛋白库的高度个体化特征。

图6(注:A:IGH链;B:IGK链;C:IGL链)
小结
本研究首次通过下一代测序(NGS)技术对未接种抗原的绵羊免疫球蛋白库进行了全面解析,揭示了绵羊免疫球蛋白库的高度多样性。研究发现,绵羊的重链CDR3区平均长度为16.1 ± 3.4个氨基酸,与人类和兔子相似,表明其可能形成类似的抗原结合结构。此外,绵羊的IGL链表现出更高的多样性,而IGK链则相对较少使用。CDR3区的氨基酸组成在不同位置上表现出高度多样性,尤其是在重链中,这有助于解释绵羊抗体的高抗原特异性。最后,通过分析四只绵羊的克隆型发现个体间的免疫球蛋白库差异显著,仅有极少数CDR3序列在所有绵羊中共享。这些发现不仅为未来的研究提供了宝贵的参考数据,也为开发基于绵羊抗体的新型药物奠定了基础。
参考文献:Park M, de Villavicencio Diaz TN, Lange V, Wu L, Le Bihan T, Ma B. Exploring the sheep (Ovis aries) immunoglobulin repertoire by next generation sequencing. Mol Immunol. 2023 Apr;156:20-30. doi: 10.1016/j.molimm.2023.02.008. Epub 2023 Mar 1.







ImmunoDiagnostics | ImmunoMonitoring
免疫诊断 | 免疫监控
专注于免疫组高通量测序
ImmuHub | Seq-MRD | Immun-Traq
| Immun-Cheq | T-Classifier |TCR-T
Web:www.immuquad.com
Email:Contact@immuquad.com
Tel:0571-81061561

