解码TCR:免疫疗法中影响治疗响应与毒性的关键钥匙
发布时间:2025-02-19 10:54 | 点击次数:314
近年来,免疫疗法在非小细胞肺癌(NSCLC)的治疗领域取得了显著突破。然而,尽管这类疗法为许多患者带来了希望,但仍有相当一部分患者未能从中受益,甚至可能经历严重的免疫相关不良事件(irAEs)。为了更好地理解哪些因素能够预测患者的响应及毒性风险,Mehmet Altan及其团队在《Journal for ImmunoTherapy of Cancer》(IF:10.3)上发表了关于探讨外周血T细胞多样性在接受双重免疫检查点抑制剂(ipilimumab和nivolumab)联合治疗的转移性NSCLC患者中的作用研究。
该研究通过对LONESTAR临床试验的数据进行分析,评估了接受ipilimumab和nivolumab联合治疗的转移性NSCLC患者的外周血T细胞库特征。他们在基线、治疗12周后以及出现≥2级irAE时采集血液样本,使用TCR测序技术对TCRβ链互补决定区3(CDR3)区域进行了详细分析,以确定T细胞库的动态变化及其与放射学响应和irAE的关系。

研究结果
1.高外周T细胞多样性与更好疗效相关
研究发现,对双重免疫检查点抑制剂(ipilimumab和nivolumab)治疗有响应的患者在基线时表现出更高的T细胞丰富度(图1 A-C)。具体来说,响应者(完全缓解CR、部分缓解PR、疾病稳定SD)的T细胞丰富度显著高于无响应者(疾病进展PD),差异具有统计学意义(p=0.04)。同时,研究团队在分析 CR+PR、SD 和进展期放射学反应组之间的基线 TCR 库参数相关性时,发现T 细胞丰富度随反应深度增加而呈上升趋势且基线 T 细胞丰富度差异具有统计学意义(p=0.03)(图1D-F)。

图1
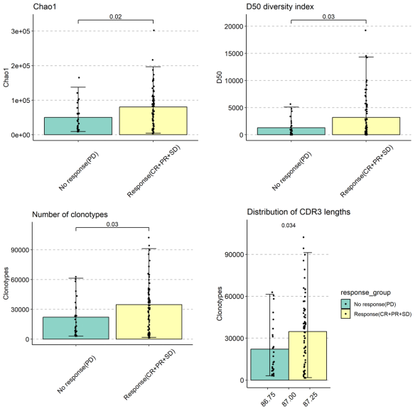
此外,使用多种多样性指标(如Chao1指数、D50指数)评估后,发现响应者的T细胞多样性更高(图2),这表明较高的T细胞多样性可能有助于更好的治疗响应。

图2
2.纵向变化分析
在接受ipilimumab和nivolumab联合治疗后12周内,整体研究队列的T细胞多样性指标(如T细胞丰富度、克隆性、最大频率)未见显著变化。然而,在响应者中观察到D50指数略有升高(p=0.05),并且高扩增T细胞克隆型的趋势更为明显(p=0.09)(图3A)。此外,响应者的T细胞克隆型变化幅度更大(p=0.0057)(图3B),这可能表明他们的T细胞库对外界刺激反应更为敏感,显示出更强的动态变化。

图3
3.低T细胞丰富度与irAEs相关
为评估出现毒性反应的患者的 T 细胞库,本研究共收集了 77 名患者在发生 ≥2 级 irAE 时的样本,其中36 名未发生 irAE 的患者的诱导后样本被用作本分析中的非毒性对照。结果发现,经历≥2级免疫相关不良事件(irAEs)的患者在外周血中的T细胞丰富度显著低于没有出现irAE的患者。特别是在毒性发生时,患者的T细胞丰富度显著降低(p=0.002)。此外,毒性组的T细胞密度也显著低于对照组(12周治疗后的无毒性样本),差异具有统计学意义(p=0.02)(图4)。这些结果提示,较低的T细胞丰富度可能预示着更高的毒性风险。

图4
4.早期与延迟毒性对比
早期毒性(治疗开始后12周内)患者的T细胞丰富度显著高于延迟毒性(治疗开始后超过12周)患者。此外,早期毒性患者表现出更高的T细胞逆辛普森指数和更低的T细胞克隆性趋势,但这些差异未达到统计学显著性(p=0.06)。这一结果提示,早期和延迟毒性可能存在不同的生物学机制(图5)。

图5
5.irAEs与病毒特异性T细胞有关
研究人员通过VDJdb数据库比较了患者TCR序列与已知抗原特异性TCR序列的重叠情况,发现患有肺炎或腹泻/结肠炎等irAE的患者,其TCR库与病毒感染(如巨细胞病毒、Epstein-Barr病毒)的数据库有更多的重叠(图6)。这一发现提示某些irAE可能是由病毒再激活引起的。进一步分析显示,响应者(CR+PR+SD)和无响应者(PD)之间存在不同的抗原重叠模式,表明抗原特异性可能影响治疗响应。

图6
总 结
本研究利用T细胞受体(TCR)测序技术,系统分析了接受双重免疫检查点抑制剂(ipilimumab和nivolumab)治疗的转移性非小细胞肺癌(NSCLC)患者的外周血T细胞库特征。研究发现,基线时通过TCR测序评估的高T细胞多样性及丰富度与更好的治疗响应显著相关,而较低的T细胞丰富度则与更高的免疫相关不良事件(irAEs)风险相关。此外,经历irAEs的患者其TCR库与病毒感染(如巨细胞病毒、Epstein-Barr病毒)的数据库有更多的重叠,提示某些irAE可能由病毒再激活引起。这些基于TCR测序的结果表明,外周血T细胞库特征可以作为预测治疗效果和毒性风险的重要生物标志物,为个性化免疫治疗提供了新的视角和策略。
参考文献:Altan M, Li R, Li Z, Chen R, Sheshadri A, Tran HT, Little L, Baguley J, Sinson J, Vokes N, Gandhi S, Antonoff MB, Swisher SG, Lizee G, Reuben A, Heymach JV, Zhang J. High peripheral T cell diversity is associated with lower risk of toxicity and superior response to dual immune checkpoint inhibitor therapy in patients with metastatic NSCLC. J Immunother Cancer. 2024 Dec 25;12(12):e008950. doi: 10.1136/jitc-2024-008950.
艾沐蒽专注于免疫组测序领域多年,开发的ImmuHub®技术平台方法全面,检测物种多样,建库方法具有灵活性,致力于为各大高校、医院、科研机构、企业等提供优良的科研服务。







ImmunoDiagnostics | ImmunoMonitoring
免疫诊断 | 免疫监控
专注于免疫组高通量测序
ImmuHub | Seq-MRD | Immun-Traq
| Immun-Cheq | T-Classifier |TCR-T

